0. ์คํ ์ค๊ณ ๋จ๊ณ์์ ๋ฌด์์ ํด์ผ ํ๋?
์ด๋ฏธ ๊ฐ์ค๊ณผ ๋ชฉํ ์งํ(ํต์ฌ KPI)๊ฐ ์ค์ ๋์ด ์๋ค๊ณ ๊ฐ์ ํ๋ค.
์คํ์ ์ค๊ณํ๋ค๋ ๊ฑด ๊ฒฐ๊ตญ “์ผ๋ง๋ ๋ง์ ์ ์ ๋ฅผ, ์ผ๋ง๋ ์ค๋ซ๋์, ์ด๋ค ๊ธฐ์ค์ผ๋ก ๋น๊ตํ ์ง”๋ฅผ ์ ํ๋ ๊ณผ์ ์ด๋ค.
ํนํ ์ ํ์จ/ํด๋ฆญ๋ฅ ์ฒ๋ผ ๋น์จ ์งํ(Conversion Rate, Click-through Rate)๋ฅผ ํต์ฌ ์งํ๋ก ์ฐ๋ ๊ฒฝ์ฐ๊ฐ ๋ง๊ธฐ ๋๋ฌธ์, ๋น์จ ์งํ๋ฅผ ๊ธฐ์ค์ผ๋ก ์คํ ์ค๊ณ ํ๋ฆ์ ์ ๋ฆฌํด ๋ณด์.
1) ๋ชจ์(๋ถ๋ชจ ๊ท๋ชจ) ํ์ธ
ํจ๊ณผ๋ฅผ ๋ณด๊ณ ์ ํ๋ ์งํ์ ๋ถ๋ชจ๊ฐ ๋ฌด์์ธ์ง๋ถํฐ ์ ์ํด์ผ ํ๋ค.
์๋ฅผ ๋ค์ด ์ ํ์จ์ด๋ผ๋ฉด “์ ํ์ ์ํฌ ์ ์๋ ๋์ ์ ์ ์”๊ฐ ๋ถ๋ชจ๋ค.
์ฆ, ํ๋ฃจ์ ๋ช ๋ช
์ ์ ์ ๊ฐ ์คํ์ ๋ค์ด์ค๋์ง(ํธ๋ํฝ)๋ฅผ ๋จผ์ ํ์ธํ๋ค.
2) ํ์ฌ ๋ฒ ์ด์ค๋ผ์ธ(๊ธฐ์ค ์ ํ์จ) ํ์ธ
ํ์ฌ ํต์ฌ ์งํ๊ฐ ์ด๋ ์ ๋์ธ์ง ํ์ธํ๋ค.
์: ํ์ฌ ์ ํ์จ์ด 10%
3) ์๋ฏธ ์๋ ํจ๊ณผ ๊ธฐ์ค(MDE) ์ค์
์ค์ ๋ก ์ ํ์ ์ผ๋ก/๋น์ฆ๋์ค์ ์ผ๋ก “์ด ์ ๋๋ฉด ์๋ฏธ ์๋ค”๊ณ ํ๋จํ ์ต์ ํจ๊ณผ๋ฅผ ์ ํ๋ค.
์ด๋ฅผ MDE(Minimum Detectable Effect)๋ผ๊ณ ํ๋ค.
์: ์ ํ์จ +5%p (10% → 15%)
์ฌ๊ธฐ์ ์ค์ํ ๊ฑด, MDE๋ “ํต๊ณ์ ์ผ๋ก ์ ์๋ฏธํ ์ ์๋ ๋ณํ”๊ฐ ์๋๋ผ
“์๋ฏธ ์๋ค๊ณ ๋ณผ ๋ณํ”๋ฅผ ๋จผ์ ์ ์ํ๋ ๊ฒ์ด๋ผ๋ ์ ์ด๋ค.
4) MDE ๊ธฐ์ค์ผ๋ก ํ์ํ ํ๋ณธ ์ ๊ณ์ฐ
์ค์ ํ MDE๋ฅผ ๊ฒ์ถํ ์ ์๋๋ก, ํ๋ณธ ์๋ฅผ ๊ณ์ฐํ๋ค.
๋ณดํต ๋ค์ ์กฐ๊ฑด์ ํจ๊ป ๋๋ค.
- ์ ์์์ค(α): 0.05 (p-value ≤ 0.05)
- ๊ฒ์ ๋ ฅ(power): 80%
์ฆ, ์ค์ ๋ก ํจ๊ณผ๊ฐ ์์ ๋ ์ด๋ฅผ 80% ํ๋ฅ ๋ก ์ก์๋ผ ์ ์๋๋ก ํ์ํ ํ๋ณธ ์๋ฅผ ๊ตฌํ๋ค.
- MDE๊ฐ ํด์๋ก → ์ฐจ์ด๊ฐ ํฌ๊ธฐ ๋๋ฌธ์ ํต๊ณ์ ์ ์์ฑ์ ํ๋ณดํ๊ธฐ ์ฌ์์ง๋ค.
- ๋ฐ๋๋ก MDE๊ฐ ์์์๋ก → ๋ ๋ง์ ํ๋ณธ์ด ํ์ํด์ง๋ค.
5) ํ์ํ ํ๋ณธ ์๋ฅผ ๋ชจ์ผ๊ธฐ ์ํ ์คํ ๊ธฐ๊ฐ ์ฐ์
ํ์ํ ํ๋ณธ ์๋ฅผ ํ๋ณดํ๋ ๋ฐ ๋ฉฐ์น ์ด ๊ฑธ๋ฆฌ๋์ง ๊ณ์ฐํด ์คํ ๊ธฐ๊ฐ์ ์ ํ๋ค.
(ํธ๋ํฝ์ด ๋ฎ์ผ๋ฉด ์คํ ๊ธฐ๊ฐ์ด ๊ธธ์ด์ง๊ณ , ๋๋ฌด ๊ธธ์ด์ง๋ฉด ์ธ๋ถ ์์ธ์ ๋ ์ทจ์ฝํด์ง๋ค.)
๋ฒ์ธ) ํ๋ณธ ์๊ฐ ์ ํ๋์ด ์์ ๋ ์ญ์ผ๋ก MDE๋ฅผ ๊ตฌํ๋ ๋ฐฉ๋ฒ
ํ์ค์์๋ ๋ค์์ฒ๋ผ ํ๋ณธ ์๊ฐ ์ด๋ฏธ ์ ํ๋์ด ์๋ ๊ฒฝ์ฐ๊ฐ ๋ง๋ค.
- ํ๋ณธ ์๋ฅผ ๋ชจ์ผ๊ธฐ ์ด๋ ต๋ค (ํธ๋ํฝ์ด ์์์)
- ๋น ๋ฅธ ์์ฌ๊ฒฐ์ ์ด ํ์ํ๋ค
- ๋ฐ๋ผ์, ์คํ์ ์ค๋ ํ ์ ์๋ค
์ด๋๋ ๋ฐ๋๋ก,
- ํ๋ณธ ์(๋๋ ์คํ ๊ธฐ๊ฐ์ผ๋ก ํ๋ณด ๊ฐ๋ฅํ ์ ์ ์)
- ๋ฒ ์ด์ค๋ผ์ธ
- ์ ์์์ค(α=0.05)
- ๊ฒ์ ๋ ฅ(power=80%)
์ ์
๋ ฅ๊ฐ์ผ๋ก ๋๊ณ ,
ํต๊ณ์ ์ผ๋ก ์ ์๋ฏธํ ๊ฒฐ๊ณผ๋ฅผ ์ป๊ธฐ ์ํด ํ์ํ MDE๊ฐ ์ผ๋ง์ธ์ง๋ฅผ ๊ณ์ฐํ ์ ์๋ค.
๋ฒ์ธ) ์ ๋ MDE(% point) ๊ธฐ์ค์์ ๋ฒ ์ด์ค๋ผ์ธ๊ณผ ํ๋ณธ ์์ ๊ด๊ณ
๊ฐ์ ์ ๋ ๋ณํ(์: +1%p)๋ผ๋
๋ฒ ์ด์ค๋ผ์ธ์ด ๋ฎ์์๋ก(ํฌ๊ทํ ์๋ก) ์๋์ ๋ณํ๊ฐ ์ปค์ง ์ ์๊ณ ,
๊ฒฝ์ฐ์ ๋ฐ๋ผ ํ์ํ ํ๋ณธ ์๊ฐ ๋ฌ๋ผ์ง๋ค.
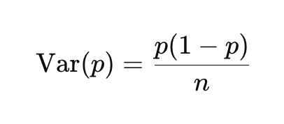
๋ฒ ๋ฅด๋์ด ๋ถํฌ์์ ๋น์จ p์ ๋ถ์ฐ์ ์๋์ ๊ฐ๋ค.

์ฆ, p๊ฐ 0์ด๋ 1์ ๊ฐ๊น์์ง์๋ก ๋ถ์ฐ์ด ์์์ง๋ค.
์์๋ก,
| ๋ฒ ์ด์ค๋ผ์ธ | ๋ถ์ฐ ํน์ฑ | ๊ฐ์ MDE์ผ ๋ ํต๊ณ์ ์ ์์ฑ | ํ์ํ ํ๋ณธ์ |
| 50% | ๋ถ์ฐ ํผ | p-value ↑, ๊ฒ์ ๋ ฅ ↓ | ๋ง์์ง |
| 10% | ๋ถ์ฐ ์์ | p-value ↓, ๊ฒ์ ๋ ฅ ↑ | ์ ์ด์ง |
๋จ, ์ฑ๊ณต ๊ฑด์๊ฐ ํฌ๊ทํด์ ์ ๊ท ๊ทผ์ฌ๊ฐ ๋ถ์์ ํ ๋๋
๋ ๋ง์ ํ๋ณธ ์๋ฅผ ์๊ตฌํ๋ค (๊ฐ ๊ทธ๋ฃน์์ np ≥ 5 ์กฐ๊ฑด ๋ฏธ์ถฉ์กฑ ์)
A/B ํ
์คํธ์ ํ์ํ ์ฌ์ ์ค๊ณ ์์
๋ค์ ๊ณต๋ถํ๋ฉฐ ์ ๋ฆฌํด๋ณด์์ต๋๋ค.
์ด๋ก ์์ฒด๋ ๋น๊ต์ ๋ช
๋ฃํ์ง๋ง, ์ค๋ฌด์์๋ ์์ํ์ง ๋ชปํ ๊ณ ๋ ค์ฌํญ๋ค์ด ๋ง์ต๋๋ค.
๋ฐ๋ผ์ ์ด๋ก ์ ๋จผ์ ๊ฒฌ๊ณ ํ ์ดํดํ ๋ค, ์ํฉ์ ๋ง๊ฒ ์ ์ฐํ๊ฒ ์ ์ฉํ๋ ๊ฒ์ด ์ค์ํ๋ค๊ณ ์๊ฐํฉ๋๋ค ใ
ใ
'Data Analysis' ์นดํ ๊ณ ๋ฆฌ์ ๋ค๋ฅธ ๊ธ
| ๋ฐ์ดํฐ ๋ถ์๊ฐ๊ฐ ์์๋ณด๋ ๋ฐ์ดํฐ ์ํคํ ์ณ (1) | 2025.12.21 |
|---|